Nestlé rpact Training 2024, Lausanne
May 23, 2024
rpact
\(\rightarrow\) www.rpact.org

RPACT Cloud
\(\rightarrow\) cloud.rpact.com
22 releases on CRAN since October 2018
rpact on Github: github.com/rpact-com/rpact
Comes with 26 vignettes
CRAN download stats:
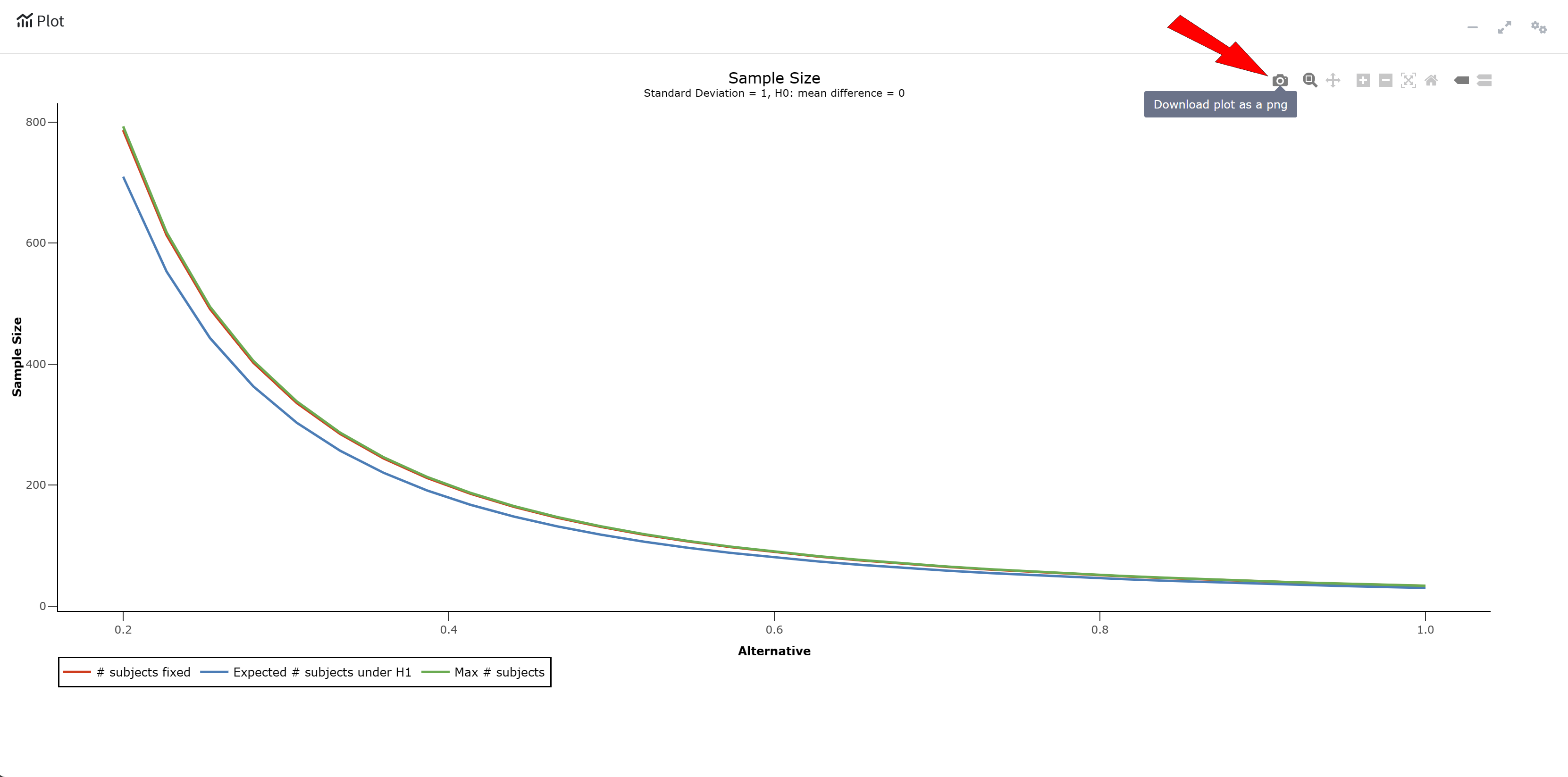
Design
Sample size and power calculation for
All also available for fixed sample size design
Simulation tool for assessing adaptive strategies, e.g.,
Analysis tool for
Usage inspired by the typical workflow in trial design and conduct:
design <- getDesignGroupSequential()getDesignSet()getSampleSizeMeans(), getPowerMeans()getSimulationMeans()data <- getDataset()getAnalysisResults(design, data)Almost all functions, arguments, and objects are self-explanatory due to their names:
getDesign[GroupSequential/InverseNormal/Fisher]()getDesignCharacteristics()getSampleSize[Means/Rates/Counts/Survival]()getPower[Means/Rates/Counts/Survival]()getSimulation[MultiArm/Enrichment][Means/Rates/Survival]()getDataset()getAnalysisResults()
Several utility functions are available, e.g.:
getAccrualTime()getPiecewiseSurvivalTime()getNumberOfSubjects()getEventProbabilities()getPiecewiseExponentialDistribution()getObjectRCode()testPackage(): installation qualification on a client computer or company serverhelp(package = "rpact") : Inline help
Example: getDesignInverseNormal() produces the output:

Example: getDesignInverseNormal(kMax = 2) produces:

Various learning concepts available:

![]()
































